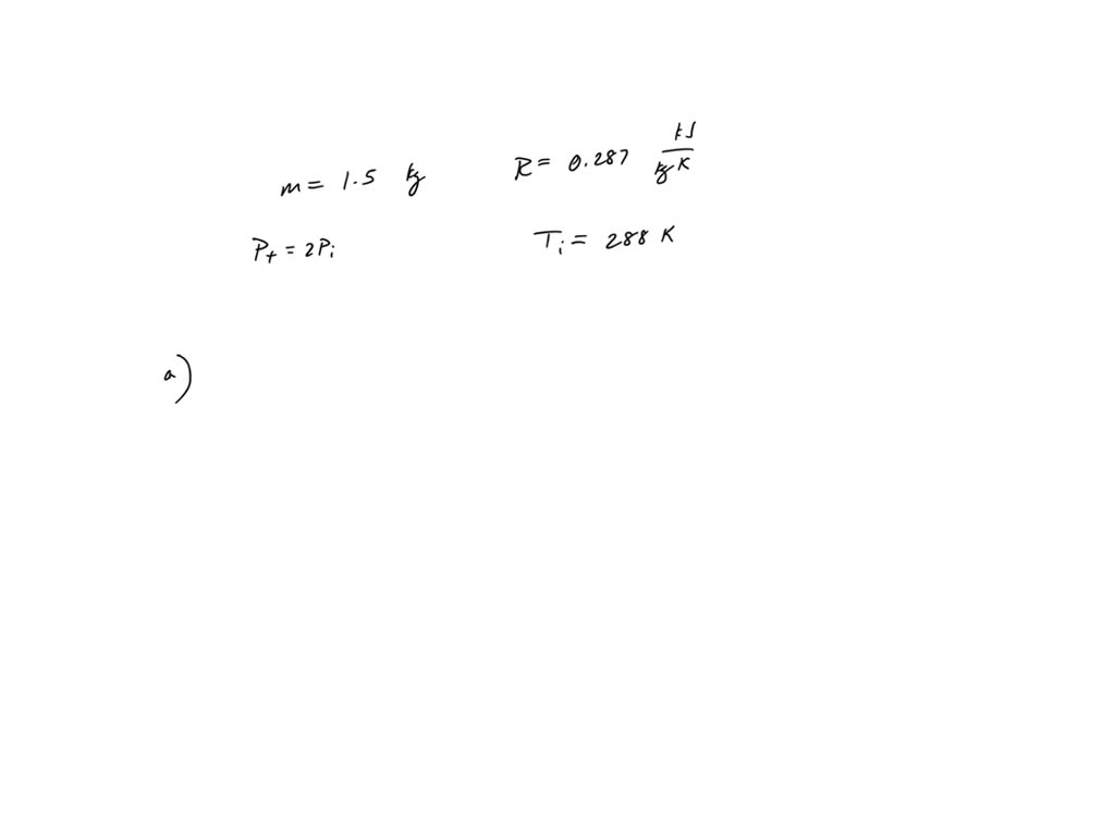
A Scuba Tank Contains 1.5 Kg Of Air . The air in the tank is initially at 15°c. The air in the tank is initially at 15 c.  a scuba tank contains 1.5 kg of air. The tank is left near an engine exhaust line and the tank's. We need to find the final temperature (t2) and the heat added (q) to the system. The tank is left near an engine exhaust line and. The tank is left near an engine exhaust line, and. The tank is left near an.  a scuba tank contains 1.5kg of air. The air in the tank is initially at 15 celsius degrees. The tank is left near the engine exhaust line and the tank's pressure double. The tank is left near an engine exhaust line, and the tank's. The air in the tank is initially at 15°c. A scuba tank contains 1.5 kg of air.  a scuba tank contains of 1.5kg of air.
        
         
         
        from alatselam.com 
     
        
        The tank is left near an engine exhaust line and. The air in the tank is initially at 15℃. A scuba tank contains 1.5 kg of air. The tank is left near an engine exhaust line, and the tank's. We need to find the final temperature (t2) and the heat added (q) to the system. The air in the tank is initially at 15°c. We can use the ideal gas law to. The tank is left near an. The tank is left near the engine exhaust line and the tank's pressure double.  scuba tank contains 1.5kg of air.
    
    	
            
	
		 
	 
         
    AmScuD Tabung Selam/Scuba Tank/Scuba Cylinder Alluminium 40 Cuft / 5.7 
    A Scuba Tank Contains 1.5 Kg Of Air  The air in the tank is initially at 15°c.   a scuba tank contains 1.5 kg of air. We can use the ideal gas law to. The air in the tank is initially at 15 c. The tank is left near the engine exhaust line and the tank's pressure double. The tank is left near an engine exhaust line, and. The air in the tank is initially at 15°c. The air in the tank is initially at 15°c. The tank is left near an engine exhaust line and the tank's.  a scuba tank contains 1.5kg of air.  scuba tank contains 1.5kg of air. We need to find the final temperature (t2) and the heat added (q) to the system. The tank is left near an engine exhaust line, and the tank's. Let's say we have a scuba tank with 1.5 kilograms of air, and the ideal gas constant for air is 0.287 thousand joules per. The air in the tank is initially at 15oc. The tank is left near an.
            
	
		 
	 
         
 
    
         
        From www.chegg.com 
                    Solved A wellinsulated, rigid tank contains 1.5 kg of A Scuba Tank Contains 1.5 Kg Of Air  The air in the tank is initially at 15 c. The air in the tank is initially at 15 celsius degrees. The tank is left near an. We need to find the final temperature (t2) and the heat added (q) to the system.  scuba tank contains 1.5kg of air.  a scuba tank contains of 1.5kg of air. The. A Scuba Tank Contains 1.5 Kg Of Air.
     
    
         
        From www.scuba.com 
                    XS Scuba Extra Air System with Tank Scuba A Scuba Tank Contains 1.5 Kg Of Air  A scuba tank contains 1.5 kg of air. The air in the tank is initially at 15℃. The tank is left near an engine exhaust line and the tank's. The air in the tank is initially at 15 celsius degrees. The tank is left near an. The tank is left near an engine exhaust line and. The air in the. A Scuba Tank Contains 1.5 Kg Of Air.
     
    
         
        From scubagearcanada.ca 
                    Scuba Tanks Scuba Gear Canada A Scuba Tank Contains 1.5 Kg Of Air  The tank is left near an engine exhaust line, and the tank's. The tank is left near an engine exhaust line, and. The tank is left near an engine exhaust line and. The air in the tank is initially at 15°c. The air in the tank is initially at 15oc. The tank is left near an engine exhaust line and. A Scuba Tank Contains 1.5 Kg Of Air.
     
    
         
        From scubagearcanada.ca 
                    Scuba Tanks Scuba Gear Canada A Scuba Tank Contains 1.5 Kg Of Air  The tank is left near the engine exhaust line and the tank's pressure double. The air in the tank is initially at 15 celsius degrees. We need to find the final temperature (t2) and the heat added (q) to the system. The air in the tank is initially at 15℃. The tank is left near an engine exhaust line and.. A Scuba Tank Contains 1.5 Kg Of Air.
     
    
         
        From alatselam.com 
                    AmScuD Tabung Selam/Scuba Tank/Scuba Cylinder Alluminium 40 Cuft / 5.7 A Scuba Tank Contains 1.5 Kg Of Air  The tank is left near an.   a scuba tank contains 1.5 kg of air. The tank is left near an engine exhaust line and the tank's. The tank is left near the engine exhaust line and the tank's pressure double. We can use the ideal gas law to. The tank is left near an engine exhaust line and. . A Scuba Tank Contains 1.5 Kg Of Air.
     
    
         
        From www.chegg.com 
                    Solved 6.50 m A closed, rigid tank contains 5 kg of air A Scuba Tank Contains 1.5 Kg Of Air  The air in the tank is initially at 15 c. The tank is left near an engine exhaust line and. The tank is left near an engine exhaust line, and the tank's. The tank is left near the engine exhaust line and the tank's pressure double. We need to find the final temperature (t2) and the heat added (q) to. A Scuba Tank Contains 1.5 Kg Of Air.
     
    
         
        From www.chegg.com 
                    Solved 8. Scuba tank contains 1.5kg of air. The air in the A Scuba Tank Contains 1.5 Kg Of Air  Let's say we have a scuba tank with 1.5 kilograms of air, and the ideal gas constant for air is 0.287 thousand joules per.  a scuba tank contains 1.5 kg of air. The air in the tank is initially at 15°c. We can use the ideal gas law to. The tank is left near an. The air in the. A Scuba Tank Contains 1.5 Kg Of Air.
     
    
         
        From www.chegg.com 
                    Solved A closed rigid tank contains 5 kg of air initially at A Scuba Tank Contains 1.5 Kg Of Air  We can use the ideal gas law to. The tank is left near an engine exhaust line, and the tank's. The tank is left near an engine exhaust line, and. The air in the tank is initially at 15oc. The air in the tank is initially at 15 celsius degrees. We need to find the final temperature (t2) and the. A Scuba Tank Contains 1.5 Kg Of Air.
     
    
         
        From www.minidive.com 
                    Mini Scuba Tank Refillable In Carbon Scuba diving oxygen A Scuba Tank Contains 1.5 Kg Of Air  Let's say we have a scuba tank with 1.5 kilograms of air, and the ideal gas constant for air is 0.287 thousand joules per.  a scuba tank contains 1.5 kg of air. We can use the ideal gas law to. The air in the tank is initially at 15oc. The tank is left near an engine exhaust line, and.. A Scuba Tank Contains 1.5 Kg Of Air.
     
    
         
        From www.numerade.com 
                    A closed tank contains 1.5 m of SAE 30 oil, 1 m of water, 20 cm of A Scuba Tank Contains 1.5 Kg Of Air    a scuba tank contains 1.5 kg of air.  a scuba tank contains 1.5kg of air. The air in the tank is initially at 15°c. We can use the ideal gas law to. The air in the tank is initially at 15oc.  a scuba tank contains 1.5 kg of air.  scuba tank contains 1.5kg of air. The. A Scuba Tank Contains 1.5 Kg Of Air.
     
    
         
        From www.chegg.com 
                    Solved A 12.5L scuba diving tank contains a heliumoxygen A Scuba Tank Contains 1.5 Kg Of Air  The tank is left near an engine exhaust line, and. The tank is left near an engine exhaust line, and the tank's. The tank is left near an engine exhaust line and the tank's. The air in the tank is initially at 15 c. The tank is left near the engine exhaust line and the tank's pressure double.  a. A Scuba Tank Contains 1.5 Kg Of Air.
     
    
         
        From www.chegg.com 
                    Solved Problem \ 1 A 1 m3 tank contains 3.5 kg of steam A Scuba Tank Contains 1.5 Kg Of Air  The tank is left near an engine exhaust line, and. The tank is left near an engine exhaust line and the tank's. The tank is left near an engine exhaust line, and the tank's. The air in the tank is initially at 15 c. The air in the tank is initially at 15oc. The tank is left near an engine. A Scuba Tank Contains 1.5 Kg Of Air.
     
    
         
        From www.numerade.com 
                    SOLVEDA compressed air tank contains 5 kg of air… A Scuba Tank Contains 1.5 Kg Of Air  The tank is left near an engine exhaust line, and. The tank is left near an engine exhaust line and. The air in the tank is initially at 15°c. The air in the tank is initially at 15 c.  a scuba tank contains of 1.5kg of air.  a scuba tank contains 1.5 kg of air. Let's say we. A Scuba Tank Contains 1.5 Kg Of Air.
     
    
         
        From www.chegg.com 
                    Solved 8. Scuba tank contains 1.5kg of air. The air in the A Scuba Tank Contains 1.5 Kg Of Air  A scuba tank contains 1.5 kg of air.  scuba tank contains 1.5kg of air. The tank is left near an engine exhaust line and the tank's. The air in the tank is initially at 15 c. The air in the tank is initially at 15oc.  a scuba tank contains 1.5 kg of air. The tank is left near. A Scuba Tank Contains 1.5 Kg Of Air.
     
    
         
        From www.chegg.com 
                    Solved Exercice 4 A closed, rigid tank contains 5 kg of air A Scuba Tank Contains 1.5 Kg Of Air  The air in the tank is initially at 15oc. The air in the tank is initially at 15 celsius degrees.  scuba tank contains 1.5kg of air. The air in the tank is initially at 15 c. The tank is left near an engine exhaust line and the tank's. The tank is left near an. The tank is left near. A Scuba Tank Contains 1.5 Kg Of Air.
     
    
         
        From www.chegg.com 
                    Solved Problem 3 Two Tanks A 1.0m3 tank containing air at A Scuba Tank Contains 1.5 Kg Of Air  The air in the tank is initially at 15°c. The tank is left near an engine exhaust line and. The air in the tank is initially at 15 c.  a scuba tank contains of 1.5kg of air. The tank is left near an engine exhaust line and the tank's. A scuba tank contains 1.5 kg of air. The tank. A Scuba Tank Contains 1.5 Kg Of Air.
     
    
         
        From www.chegg.com 
                    Solved 8. Scuba tank contains 1.5kg of air. The air in the A Scuba Tank Contains 1.5 Kg Of Air  The tank is left near an engine exhaust line, and the tank's. A scuba tank contains 1.5 kg of air. We need to find the final temperature (t2) and the heat added (q) to the system. The air in the tank is initially at 15 celsius degrees. The air in the tank is initially at 15℃. The tank is left. A Scuba Tank Contains 1.5 Kg Of Air.
     
    
         
        From www.numerade.com 
                    SOLVED A scuba tank contains 1.5 kg of air. The air in the tank is A Scuba Tank Contains 1.5 Kg Of Air  The air in the tank is initially at 15oc.  a scuba tank contains 1.5 kg of air. We can use the ideal gas law to.   a scuba tank contains 1.5 kg of air.  scuba tank contains 1.5kg of air. The tank is left near the engine exhaust line and the tank's pressure double. We need to find. A Scuba Tank Contains 1.5 Kg Of Air.